SOLUTION: 4x-7/5x+1≥2

Algebra ->  Functions -> SOLUTION: 4x-7/5x+1≥2       Log On


   



Question 1169265: 4x-7/5x+1≥2

Found 2 solutions by greenestamps, MathLover1:
Answer by greenestamps(13200) About Me  (Show Source):
You can put this solution on YOUR website!


4x-7%2F5x%2B1%3E=2?

I doubt it.

Re-post, using parentheses where they are needed.


Answer by MathLover1(20850) About Me  (Show Source):
You can put this solution on YOUR website!
assuming you have
%284x-7%29%2F%285x%2B1%29%3E=2 .....
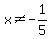
first denominator cannot be zero, so if 5x%2B1=0 =>5x=-1=>x=-1%2F5
so,+x%3C%3E-1%2F5+
%284x-7%29%3E=2%285x%2B1%29
4x-7%3E=10x%2B2
-7-2%3E=10x-4x
-9%3E=6x
-9%2F6%3E=x
x%3C=-3%2F2
-3%2F2%3C=+x+%3C-1%2F5+ ( x is less than -1%2F5 because x%3C%3E-1%2F5)
MSP382723icb46iggd417g800003173h24hdbeacfa0.gif