SOLUTION: Carol and George drive away from a camp ground. Carol went North and George went East. Carol’s speed s 40 kph and George’s speed is 75 kph. a. Express the distance between th

Algebra ->  Functions -> SOLUTION: Carol and George drive away from a camp ground. Carol went North and George went East. Carol’s speed s 40 kph and George’s speed is 75 kph. a. Express the distance between th      Log On


   



Question 1168155: Carol and George drive away from a camp ground. Carol went North and George went
East. Carol’s speed s 40 kph and George’s speed is 75 kph.
a. Express the distance between the cars as a function of time.
b. Find the domain of the function.
(And explain how do you get the answer) I totally need it

Found 2 solutions by ikleyn, solver91311:
Answer by ikleyn(52798) About Me  (Show Source):
You can put this solution on YOUR website!
.

You have the right triangle.


One leg is the distance traveled by Carol.  It is  40*t miles.


The other leg is the distance covered by George.  It is 75*t miles.


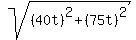
The separating distance is the hypotenuse. It is  

    sqrt%28%2840t%29%5E2+%2B+%2875t%29%5E2%29 = sqrt%28%2840%5E2+%2B+75%5E2%29%2At%5E2%29 = sqrt%2840%5E2+%2B+75%5E2%29%2At = 85*t  miles long.   ANSWER

Solved.



Answer by solver91311(24713) About Me  (Show Source):
You can put this solution on YOUR website!


A function that describes Carol's distance from the origin as a function of time is . Similarly, for George's trip: . Where is measured in kilometers and is in hours. Each of these functions describes the measure of a leg of a right triangle at any given time , so the distance between the two is the square root of the sum of the squares of the two functions. Thank you, Mr. Pythagoras. So:



Which, like any other polynomial function has a domain of all real numbers. However, since a negative number for elapsed time is nonsense, the domain of this function in practical terms is

John

My calculator said it, I believe it, that settles it


I > Ø