Instead of doing yours for you, I'll do one exactly like yours step by step so
you can use it as a model to do yours by. I'll do this one:
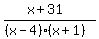
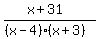
Find constants A and B such that
(x + 31)/(x^2 - 7x - 12) = A/(x - 4) + B(x + 3)
for all x such that x is not equal to -3 and x is not equal to 4. Give your
answer as the ordered pair (A,B).





These will be identical if and only if the numerators are identical:


Let x=-3 to cause x + 3 to become 0
It is OK to use x = -3 here because this is only to cause the numerators
to become equivalent. It is not allowing x to be -3 in the original
expression.






Let x=4
Similarly, it is OK to use x = 4 here because this is only to cause the
numerators to become equivalent. It is not allowing x to be 4 in the original
expression.








(A,B) = (5,-4)
Now do yours the exact same way.
Edwin