SOLUTION: Suppose f(x) = √x − 1 and g(x) = x^2 + 5. Find and simplify expressions for each of the following: (a) (f ◦ g)(x) (b) (g ◦ f)(x)

Algebra ->  Functions -> SOLUTION: Suppose f(x) = √x − 1 and g(x) = x^2 + 5. Find and simplify expressions for each of the following: (a) (f ◦ g)(x) (b) (g ◦ f)(x)      Log On


   



Question 1157561: Suppose f(x) = √x − 1 and g(x) = x^2 + 5. Find and simplify expressions for each of the following:
(a) (f ◦ g)(x)
(b) (g ◦ f)(x)

Answer by MathLover1(20850) About Me  (Show Source):
You can put this solution on YOUR website!

Suppose
f%28x%29+=+sqrt%28x+-+1%29+
g%28x%29+=+x%5E2+%2B+5
Find :
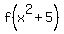
(a)
(f+g)%28x%29=f%28g%28x%29%29
(f+g)%28x%29=f%28+x%5E2+%2B+5%29
(f+g)%28x%29=sqrt%28%28x%5E2+%2B+5%29-+1+%29+
(f+g)%28x%29=sqrt%28x%5E2+%2B4+%29+




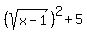
(b)
(gf)%28x%29=g%28f%28x%29%29
(gf)%28x%29=g%28sqrt%28x+-+1%29%29
(gf)%28x%29=%28sqrt%28x+-+1%29%29%5E2%2B5
(gf)%28x%29=x+-+1%2B5
(gf)%28x%29=x%2B4