SOLUTION: Consider the function f(x)=x^2+6x-2 a) Find h, the x-coordinate of the vertex of this parabola. Substitute the two whole number values immediately to the left and right of h i

Algebra ->  Functions -> SOLUTION: Consider the function f(x)=x^2+6x-2 a) Find h, the x-coordinate of the vertex of this parabola. Substitute the two whole number values immediately to the left and right of h i      Log On


   



Question 115442: Consider the function f(x)=x^2+6x-2
a) Find h, the x-coordinate of the vertex of this parabola.
Substitute the two whole number values immediately to the left and right of h into the function to find the corresponding y. Fill in the table below. Make sure your x-values are in increasing order in your table.
x y
_ _
_ _
h=__ _
_ _
_ _

Answer by solver91311(24713) About Me  (Show Source):
You can put this solution on YOUR website!
The x-coordinate of the vertex (h, k) of a parabola expressed in the form y=a%5E2%2Bbx%2Bc is given by h=%28-b%29%2F2a.

So, for f%28x%29=x%5E2%2B6x-2, h=%28-6%29%2F2=-3

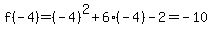
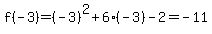
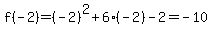
The whole number values immediately to the left and right of this point are -4 and -2, so you need to evaluate f(-4), f(-3), and f(-2).

f%28-4%29=%28-4%29%5E2%2B6%28-4%29-2=-10
f%28-3%29=%28-3%29%5E2%2B6%28-3%29-2=-11
f%28-2%29=%28-2%29%5E2%2B6%28-2%29-2=-10

You can make your own table.

graph%28600%2C600%2C-5%2C1%2C-12%2C1%2Cx%5E2%2B6x-2%29