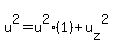
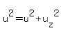
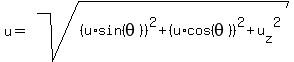
SOLUTION: So initial velocity component in the x direction is equal to u*sin(angle). In the y direction = u*cos(angle). What would it be in the z direction? Where u is the initial velocity.
Algebra ->
Functions
-> SOLUTION: So initial velocity component in the x direction is equal to u*sin(angle). In the y direction = u*cos(angle). What would it be in the z direction? Where u is the initial velocity.
Log On
Question 1114879: So initial velocity component in the x direction is equal to u*sin(angle). In the y direction = u*cos(angle). What would it be in the z direction? Where u is the initial velocity. Answer by Fombitz(32388) (Show Source):