SOLUTION: function f and g are defined by f(x)= 4x-3 g(x)=px+q find the value of p and q for which gg(x)=f(x) for all value of x.

Algebra ->  Functions -> SOLUTION: function f and g are defined by f(x)= 4x-3 g(x)=px+q find the value of p and q for which gg(x)=f(x) for all value of x.      Log On


   



Question 1105411: function f and g are defined by f(x)= 4x-3 g(x)=px+q find the value of p and q for which gg(x)=f(x) for all value of x.
Answer by KMST(5328) About Me  (Show Source):
You can put this solution on YOUR website!
g%28x%29=px%2Bq , f%28x%29=+4x-3
%22g+%5B%22%28x%29%22%5D%22=p%28px%2Bq%29%2Bq=p%5E2x%2Bpq%2Bq=p%5E2x%2B%28p%2B1%29q
If %22g+%5B%22%28x%29%22%5D%22=f%28x%29 for all values of x,
meaning that p%5E2x%2B%28p%2B1%29q=4x-3 for all values of x,
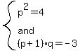
then system%28p%5E2=4%2C%22and%22%2C%28p%2B1%29q=-3%29 .
There are two solutions for p%5E2=4 : system%28p=2%2C%22or%22%2Cp=-2%29 .
system%28p=2%2C%28p%2B1%29q=-3%29 --> system%28p=2%2C%282%2B1%29q=-3%29 --> system%28p=2%2C3q=-3%29 --> system%28p=2%2Cq=-3%2F3%29 --> highlight%28system%28p=2%2Cq=-1%29%29

system%28p=-2%2C%28p%2B1%29q=-3%29 --> system%28p=-2%2C%28-2%2B1%29q=-3%29 --> system%28p=-2%2C%28-1%29q=-3%29 --> system%28p=-2%2Cq=-3%2F%28-1%29%29 --> highlight%28system%28p=-2%2Cq=1%29%29