SOLUTION: 11. Let x = ln 3 and y = ln 5. Write the following expressions in terms of x and y a. ln(5/3) b. ln45

Algebra ->  Functions -> SOLUTION: 11. Let x = ln 3 and y = ln 5. Write the following expressions in terms of x and y a. ln(5/3) b. ln45       Log On


   



Question 1104315: 11. Let x = ln 3 and y = ln 5. Write the following expressions in terms of x and y

a. ln(5/3)
b. ln45

Found 2 solutions by josgarithmetic, greenestamps:
Answer by josgarithmetic(39618) About Me  (Show Source):
You can put this solution on YOUR website!
removed


--
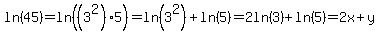
Redoing (b) only.
ln%2845%29
ln%283%5E2%2A5%29
ln%283%5E2%29%2Bln%285%29
2%2Aln%283%29%2Bln%285%29
Using the given data,
2x%2By

Answer by greenestamps(13200) About Me  (Show Source):
You can put this solution on YOUR website!


The response from the other tutor is either misleading, or just wrong -- depending on what question she was answering. She did not write the given expressions in terms of y, as your question asked....

ln%285%2F3%29+=+ln%285%29-ln%283%29+=+y-x