|
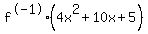
Question 1104188: Please help me with this question: If f(x) = x^2-x-1 and f[g(x)]=4x^2 + 10x + 5, find g(x).
Any help will be greatly appreciated!
Found 2 solutions by math_helper, KMST: Answer by math_helper(2461) (Show Source): Answer by KMST(5328) (Show Source):
You can put this solution on YOUR website! There has to be a better way, but here it goes.
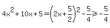
If f[g(x)] =
= { f[g(x)] } =
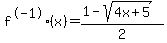
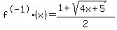
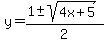
To find the inverse function of , ,
we exchange and in
to get and then solve for .
We get , .
That is really two functions,
and when working with real numbers,
it is only defined for ,
but we continue, to see what we can get.
If
.
So, is a solution.
NOTES:
1) There was no problem with being defined only for ,
because we are going to apply it to
.
2)
Would we get another solution out of ?
Let's check.
In that case, we would have
.
If ,
could be another .
Let's see.

No. It does not work.
|
|
|
| |