SOLUTION: 1. f(x)=2x^4+4x^3-5x^2+3x-2 divided by p(x)=x^2+2x-3 2. Synthetic div to divide x^3-27 by x-3 3.

Algebra ->  Functions -> SOLUTION: 1. f(x)=2x^4+4x^3-5x^2+3x-2 divided by p(x)=x^2+2x-3 2. Synthetic div to divide x^3-27 by x-3 3.       Log On


   



Question 1103725: 1. f(x)=2x^4+4x^3-5x^2+3x-2 divided by p(x)=x^2+2x-3
2. Synthetic div to divide x^3-27 by x-3
3.

Answer by Edwin McCravy(20056) About Me  (Show Source):
You can put this solution on YOUR website!
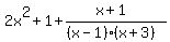
1. f(x)=2x^4+4x^3-5x^2+3x-2 divided by p(x)=x^2+2x-3
                        2x² + 0x + 1
x² + 2x - 3)2x⁴ + 4x³ - 5x² + 3x - 2
            2x⁴ + 4x³ - 6x²
                  0x³ +  x² + 3x
                  0x³ + 0x² + 0x
                         x² + 3x - 2
                         x² + 2x - 3
                               x + 1

2x%5E2%2B1%2B%28x%2B1%29%2F%28x%5E2%2B2x-3%29%22%22=%22%222x%5E2%2B1%2B%28x%2B1%29%2F%28%28x-1%29%28x%2B3%29%29



2. Synthetic div to divide x^3-27 by x-3
3 | 1   0   0 -27
  |     3   9  27
    1   3   9   0

Answer:  x%5E2%2B3x%2B9


Edwin