SOLUTION: let f (x)=16^x , g(x)=x/2 , and h(x)=(1/8)^x. Find ((f○g)/h)*(x)) and simplify.

Algebra ->  Functions -> SOLUTION: let f (x)=16^x , g(x)=x/2 , and h(x)=(1/8)^x. Find ((f○g)/h)*(x)) and simplify.      Log On


   



Question 1084364: let f (x)=16^x , g(x)=x/2 , and h(x)=(1/8)^x. Find ((f○g)/h)*(x)) and simplify.
Answer by MathLover1(20850) About Me  (Show Source):
You can put this solution on YOUR website!
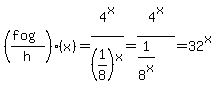
f%28x%29=16%5Ex , g%28x%29=x%2F2 , and h%28x%29=%281%2F8%29%5Ex
first, we can find
%28f+o+g%29%28x%29=16%5E%28x%2F2%29=sqrt%2816%5Ex%29=4%5Ex
now
%28%28f+o+g%29%2Fh%29%2A%28x%29=4%5Ex%2F%281%2F8%29%5Ex=4%5Ex%2F%281%2F8%5Ex%29=32%5Ex