SOLUTION: c^2+2c-10/10c^2-80c+160 is a rational expression need help factoring completely and finding the domain

Algebra ->  Functions -> SOLUTION: c^2+2c-10/10c^2-80c+160 is a rational expression need help factoring completely and finding the domain      Log On


   



Question 1065771: c^2+2c-10/10c^2-80c+160 is a rational expression need help factoring completely and finding the domain
Answer by Theo(13342) About Me  (Show Source):
You can put this solution on YOUR website!
as far as i can see, the numerator can't be factored manually, so you need to use the quadratic formula to factor it.
you will get c = -1 plus or minus sqrt(11).
the denominator can be factors and you will get c = -4 or -4.
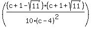
your factored expression will be %28%28c%2B1-sqrt%2811%29%29%2A%28c%2B1%2Bsqrt%2811%29%29%2F%2810%2A%28c-4%29%5E2%29%29
your domain will be all values of c not equal to 4, because c = 4 would make the denominator equal to 0 which leads to an answer that is undefined.
you can graph the numerator and denominator separately andt you can graph the full expression to see what they look like.
my first picture is the graph of the numerator.
my second picture is the graph of the denominator.
my third picture is the graph of the numerator divided by the denominator.
note that sqrt(11) is approximately equal to 3.317 and that -1 - sqrt(11) is approximately equal to -4.317 and that -1 + sqrt(11) is approximately equal to 2.317 as shown on the first picture.
that's where the numerator crosses the x-axis.
4 is where the denominator touches the x-axis.
4 is where the asymptote is when you divide the numerator by the denominator.
to graph this expression, i changed c to x because most graphing software require the horizontal axis to be x and the vertical axis to be y.
$$$
$$$
$$$