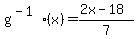
SOLUTION: Find the inverse function of g(x) g(x)=(7x+18)/2
Algebra
->
Functions
-> SOLUTION: Find the inverse function of g(x) g(x)=(7x+18)/2
Log On
Algebra: Functions, Domain, NOT graphing
Section
Solvers
Solvers
Lessons
Lessons
Answers archive
Answers
Click here to see ALL problems on Functions
Question 1064656
:
Find the inverse function of g(x) g(x)=(7x+18)/2
Answer by
josgarithmetic(39618)
(
Show Source
):
You can
put this solution on YOUR website!
Multiply by 2;
Subtract 18;
Divide by 7.
Quick alternative: