SOLUTION: The function f is one-to-one. Find its inverse. f(x) = root (3,x+4) a. f ^-1(x) = x^3 + 16 b. f ^-1(x) = x - 4 c. f ^-1(x) = 1 / x^3-4 d. f ^-1(x) = x^3 - 4

Algebra ->  Functions -> SOLUTION: The function f is one-to-one. Find its inverse. f(x) = root (3,x+4) a. f ^-1(x) = x^3 + 16 b. f ^-1(x) = x - 4 c. f ^-1(x) = 1 / x^3-4 d. f ^-1(x) = x^3 - 4       Log On


   



Question 1060947: The function f is one-to-one. Find its inverse. f(x) = root (3,x+4)
a. f ^-1(x) = x^3 + 16
b. f ^-1(x) = x - 4
c. f ^-1(x) = 1 / x^3-4
d. f ^-1(x) = x^3 - 4

Answer by josgarithmetic(39620) About Me  (Show Source):
You can put this solution on YOUR website!
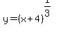
If you had as y=%28x%2B4%29%5E%281%2F3%29 and you switch places for x and y, then this makes %28y%2B4%29%5E%281%2F3%29=x, and you can try solving for y.

Cube both sides first.
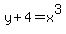
y%2B4=x%5E3
y=x%5E3-4

f%5E%28-1%29%28x%29=x%5E3-4