SOLUTION: If {{{f(x) = 5x}}} and {{{g(x)=2x^2-1}}} How would you set up: {{{(fog)(x)}}} Would it be: {{{(f)(x)*(g)(x) = (5x)(2x^2-1)}}} {{{(gof)(x)}}} Would it be {{{(g)(x)* (f)(x)=

Algebra ->  Functions -> SOLUTION: If {{{f(x) = 5x}}} and {{{g(x)=2x^2-1}}} How would you set up: {{{(fog)(x)}}} Would it be: {{{(f)(x)*(g)(x) = (5x)(2x^2-1)}}} {{{(gof)(x)}}} Would it be {{{(g)(x)* (f)(x)=      Log On


   



Question 1044096: If f%28x%29+=+5x and g%28x%29=2x%5E2-1
How would you set up:
%28fog%29%28x%29 Would it be: %28f%29%28x%29%2A%28g%29%28x%29+=+%285x%29%282x%5E2-1%29
%28gof%29%28x%29 Would it be %28g%29%28x%29%2A+%28f%29%28x%29=+2x%5E2-1+%2A+5x
g%5E-1%28x%29 ?
f%5E-1%28x%29 ?
I greatly appreciate all of your help and advice

Answer by MathLover1(20850) About Me  (Show Source):
You can put this solution on YOUR website!
If f%28x%29+=+5x and g%28x%29=2x%5E2-1
How would you set up:
%28fog%29%28x%29=>
%28f%29%28x%29%2A%28g%29%28x%29+=+%285x%29%282x%5E2-1%29=10x%5E3-5x
%28gof%29%28x%29
%28gof%29%28x%29=g%28f%28x%29%29=+2%285x%29%5E2-1=2%2A25x%5E2-1=50x%5E2-1
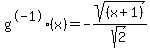
g%5E-1%28x%29
recall that
g%28x%29=y
y=2x%5E2-1...to find inverse, switch x and y first
x=2y%5E2-1..........solve for y
x%2B1=2y%5E2
%28x%2B1%29%2F2=y%5E2

y=sqrt%28%28x%2B1%29%2F2%29
y=sqrt%28%28x%2B1%29%29%2Fsqrt%282%29
so, g%5E-1%28x%29=sqrt%28%28x%2B1%29%29%2Fsqrt%282%29 or g%5E-1%28x%29=-sqrt%28%28x%2B1%29%29%2Fsqrt%282%29

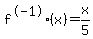
f%5E-1%28x%29 ?
f%28x%29+=+5x
y=5x
x=5y
y=x%2F5=>f%5E-1%28x%29=x%2F5