SOLUTION: A.Given F(x)= x^2+2x+1 g(x)=x+1 and h(x)=x^2-1 Find: (g.h) (-x) B.Let f and g be defined by f(x)=3x-2 , g(x)=x^2-4, and h(X)=x+2 Find: 1. ((h.g).f) (x) 2.(f.(h/g)) (x)

Algebra ->  Functions -> SOLUTION: A.Given F(x)= x^2+2x+1 g(x)=x+1 and h(x)=x^2-1 Find: (g.h) (-x) B.Let f and g be defined by f(x)=3x-2 , g(x)=x^2-4, and h(X)=x+2 Find: 1. ((h.g).f) (x) 2.(f.(h/g)) (x)      Log On


   



Question 1039431: A.Given F(x)= x^2+2x+1 g(x)=x+1 and h(x)=x^2-1
Find: (g.h) (-x)
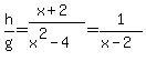
B.Let f and g be defined by f(x)=3x-2 , g(x)=x^2-4, and h(X)=x+2
Find: 1. ((h.g).f) (x)
2.(f.(h/g)) (x) and determine the domain

Answer by Fombitz(32388) About Me  (Show Source):
You can put this solution on YOUR website!
a)g%28h%29=h%2B1=%28x%5E2-1%29%2B1=x%5E2
.
.
b)g%28f%29=%283x-2%29%5E2-4=9x%5E2-12x%2B4-4=9x%5E2-12x
h%28g%28f%29%29=%289x%5E2-12x%29%2B2
h%28g%28f%29%29=9x%5E2-12x%2B2
.
.
c) h%2Fg=%28x%2B2%29%2F%28x%5E2-4%29=1%2F%28x-2%29
f%28h%2Fg%29=h%2Fg%2B2
f%28h%2Fg%29=1%2F%28x-2%29%2B2 where x%3C%3E2