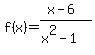
SOLUTION: I'm having difficulty with the following problem: Let f(x) = (x - 6)/(x^2- 1) then I'm asked to: a) calculate f(-2) b) State the domain of the function f(x) = (x - 6)/(

Algebra ->  Functions -> SOLUTION: I'm having difficulty with the following problem: Let f(x) = (x - 6)/(x^2- 1) then I'm asked to: a) calculate f(-2) b) State the domain of the function f(x) = (x - 6)/(      Log On


   



Question 1037100: I'm having difficulty with the following problem:
Let f(x) = (x - 6)/(x^2- 1)
then I'm asked to:
a) calculate f(-2)
b) State the domain of the function f(x) = (x - 6)/(x^2- 1)
c) Find f(a+1) and simplify as much as possible.
I came up with -8/3 and (-infinity, infinity) and f(a+1)=a^2+ a+1^2- 1
I'm pretty sure I'm wrong on all of this, but I can't find clear answers. Please help.



Answer by josgarithmetic(39620) About Me  (Show Source):
You can put this solution on YOUR website!
f%28x%29=+%28x-6%29%2F%28x%5E2-1%29

(a)
Just evaluate for x=-2. What is the value of f(-2)? Computation is all you need to do. -8%2F3.

(b)
Just the domain you want?
The only restriction is x%5E2-1%3C%3E0.
This means x%3C%3E-1 and x%3C%3E1.
Domain is All Real Numbers but Not negative 1 nor positive 1.
This is the set: -infinity%3Cx%3C-1 AND -1%3Cx%3C1 AND 1%3Cx%3Cinfinity.

(c)
%28a%2B1-6%29%2F%28%28a%2B1%29%5E2-1%29
-
%28a-5%29%2F%28a%5E2%2B2a%2B1-1%29
-
highlight%28%28a-5%29%2F%28a%5E2%2B2a%29%29------simplified.