SOLUTION: consider the function f(x)= (1-x^2)/(1+x^2)^2 Over which intervals is f(x) increasing? Choices: A(-√3,0) B(-1,0) C(-√3,0)U(√3,∞) D(-∞,-&#8730

Algebra ->  Functions -> SOLUTION: consider the function f(x)= (1-x^2)/(1+x^2)^2 Over which intervals is f(x) increasing? Choices: A(-√3,0) B(-1,0) C(-√3,0)U(√3,∞) D(-∞,-&#8730      Log On


   



Question 1035218: consider the function f(x)= (1-x^2)/(1+x^2)^2
Over which intervals is f(x) increasing?
Choices: A(-√3,0) B(-1,0) C(-√3,0)U(√3,∞) D(-∞,-√3)U(√3,∞) or E, None of these.
Please help. This is the only one I can't get as I'm preparing for my final.

Answer by robertb(5830) About Me  (Show Source):
You can put this solution on YOUR website!
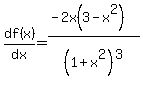
f'(x) = df%28x%29%2Fdx+=+%28-2x%283-x%5E2%29%29%2F%281%2Bx%5E2%29%5E3. (Verify!)
==> f(x) is increasing wherever f'(x) > 0.
==> f(x) is increasing over (-sqrt%283%29,0) u (sqrt%283%29, infinity), after examining the signs.