SOLUTION: Find the rules for the composite functions (g ◦ f)(x) and (f ◦ g)(x) b) If f(x) = 4 − 4x + x^2 and g(x) = x^2/x − 4

Algebra ->  Functions -> SOLUTION: Find the rules for the composite functions (g ◦ f)(x) and (f ◦ g)(x) b) If f(x) = 4 − 4x + x^2 and g(x) = x^2/x − 4      Log On


   



Question 1034616: Find the rules for the composite functions (g ◦ f)(x) and (f ◦ g)(x)
b) If f(x) = 4 − 4x + x^2 and g(x) = x^2/x − 4

Answer by Theo(13342) About Me  (Show Source):
You can put this solution on YOUR website!
f(x) = %284-4x%2Bx%5E2%29

g(x) = %28x%5E2%2F%28x-4%29%29

fog(x) = f(g(x))

gof(x) = g(f(x))

i use the letter "o" to indicate the composition symbol.
it's easier than trying to figure out what the code for the composition symbol is.

the argument in f(x) is equal to x.
the argument in f(g(x)) is equal to g(x).
in order to find fog(x), you need to replace the argument of x with the argument of g(x).
since g(x) = %28x%5E2%2F%28x-4%29%29, you need to replace x in f(x) with %28x%5E2%2F%28x-4%29%29.

you will get:

f(x) = %284-4x%2Bx%5E2%29

f(g(x)) = %284-4%2Ag%28x%29%2Bg%28x%29%5E2%29

since g(x) = %28x%5E2%2F%28x-4%29%29, then .....

f(g(x)) = %284-4%2A%28x%5E2%2F%28x-4%29%29%2B%28x%5E2%2F%28x-4%29%29%5E2%29

likewise, .....
the argument in g(x) is x.
the argument in g(f(x)) is f(x).
in order to find gof(x), you need to replace the argument of x with the argument of f(x).
since f(x) = %284-4x%2Bx%5E2%29, you need to replace x in g(x) with %284-4x%2Bx%5E2%29.
you will get:

g(x) = %28x%5E2%2F%28x-4%29%29

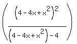
g(f(x)) = %28f%28x%29%5E2%2F%28f%28x%29-4%29%29

since f(x) = %284-4x%2Bx%5E2%29, then .....

g(f(x)) = %28%284-4x%2Bx%5E2%29%5E2%2F%28%284-4x%2Bx%5E2%29-4%29%29