SOLUTION: For the nonzero numbers a, b, and c, define J(a,b,c) = a/b + b/c + c/a. Find J(2,12, 9).
Algebra
->
Functions
-> SOLUTION: For the nonzero numbers a, b, and c, define J(a,b,c) = a/b + b/c + c/a. Find J(2,12, 9).
Log On
Algebra: Functions, Domain, NOT graphing
Section
Solvers
Solvers
Lessons
Lessons
Answers archive
Answers
Click here to see ALL problems on Functions
Question 1029537
:
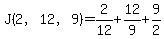
For the nonzero numbers a, b, and c, define J(a,b,c) = a/b + b/c + c/a.
Find J(2,12, 9).
Answer by
Fombitz(32388)
(
Show Source
):
You can
put this solution on YOUR website!
.
.
.