SOLUTION: Q- f(x)=3x^4-8x^3+6x^2+1 Show that f ′(x) = 12x (x-1)2 Find the intervals on which f (x) is increasing or decreasing. Find the local maximum and minimum of f (x), if a

Algebra ->  Functions -> SOLUTION: Q- f(x)=3x^4-8x^3+6x^2+1 Show that f ′(x) = 12x (x-1)2 Find the intervals on which f (x) is increasing or decreasing. Find the local maximum and minimum of f (x), if a      Log On


   



Question 965179: Q- f(x)=3x^4-8x^3+6x^2+1
Show that f ′(x) = 12x (x-1)2
Find the intervals on which f (x) is increasing or decreasing.
Find the local maximum and minimum of f (x), if any.
Show that f "(x) = 12(x-1)(3x-1)
Find the intervals on which the graph of f (x) is concave up or concave down.


Q-Use the logarithmic differentiation to differentiate the function
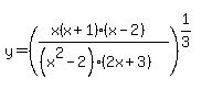
y= cube root x(x+1)(x-2)/(x^2-2)(2x+3)


Q- differentiate the following function:
f(x)=(x2+1)cube root x^2+2
f(x)= (x+1)^4/squer root x^2-1

Answer by Fombitz(32388) About Me  (Show Source):
You can put this solution on YOUR website!
f%28x%29=3x%5E4-8x%5E3%2B6x%5E2%2B1
df%2Fdx=12x%5E3-24x%5E2%2B12x=12x%28x%5E2-2x%2B1%29=12x%28x-1%29%5E2
d%28df%2Fdx%29%2Fdx=36x%5E2-48x%2B12=12%283x%5E2-4x%2B1%29=12%28x-1%29%283x-1%29
Decreasing: (-infinity,0)
Increasing: (0,infinity)
Absolute min : (0,1)
Local min : (1,2)
Concave up:(-infinity,0)U(1,infinity)
Concave down: (0,1)
.
.
.
.
y=%28+%28x%28x%2B1%29%28x-2%29%29%2F%28%28x%5E2-2%29%282x%2B3%29%29%29%5E%281%2F3%29
ln%28y%29=%281%2F3%29ln%28+%28x%28x%2B1%29%28x-2%29%29%2F%28%28x%5E2-2%29%282x%2B3%29%29%29
3%2Aln%28y%29=ln%28+x%28x%2B1%29%28x-2%29%29-ln%28%28x%5E2-2%29%282x%2B3%29%29
3%2Aln%28y%29=ln%28x%29%2Bln%28x%2B1%29%2Bln%28x-2%29-ln%28x%5E2-2%29-ln%282x%2B3%29



.
.
.
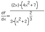
f%28x%29=%28x%5E2%2B1%29%28x%5E2%2B2%29%5E%281%2F3%29


df%2Fdx=%28%282x%29%2F%283%28x%5E2%2B2%29%5E%282%2F3%29%29%29%28x%5E2%2B1%2B3x%5E2%2B6%29
df%2Fdx=%28%282x%29%2F%283%28x%5E2%2B2%29%5E%282%2F3%29%29%29%284x%5E2%2B7%29
df%2Fdx=%28%282x%29%284x%5E2%2B7%29%29%2F%283%28x%5E2%2B2%29%5E%282%2F3%29%29%29
.
.
.
f%28x%29=+%28x%2B1%29%5E4%28+x%5E2-1%29%5E%28-1%2F2%29


df%2Fdx=%28%28x%2B1%29%5E3%2F%28x%5E2-1%29%5E%28-3%2F2%29%29%28-x%5E2-x%2B4x%5E2-4%29
df%2Fdx=%28%28x%2B1%29%5E3%2F%28x%5E2-1%29%5E%28-3%2F2%29%29%283x%5E2-x-4%29
df%2Fdx=%28%28x%2B1%29%5E3%2F%28x%5E2-1%29%5E%28-3%2F2%29%29%28%283x-4%29%28x%2B1%29%29
df%2Fdx=%28%28x%2B1%29%5E4%283x-4%29%29%2F%28x%5E2-1%29%5E%28-3%2F2%29