SOLUTION: Find f-1x for: f(x)=√(2x) for x≥0
Algebra
->
Functions
-> SOLUTION: Find f-1x for: f(x)=√(2x) for x≥0
Log On
Algebra: Functions, Domain, NOT graphing
Section
Solvers
Solvers
Lessons
Lessons
Answers archive
Answers
Click here to see ALL problems on Functions
Question 960329
:
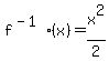
Find f-1x for:
f(x)=√(2x) for x≥0
Answer by
Fombitz(32388)
(
Show Source
):
You can
put this solution on YOUR website!
Use x,y nomenclature.
Interchange x and y and solve for y, that's the inverse.