SOLUTION: If 5X + 2y = 4 and -4 < x is less than or equal to 4, find the range of values of y. Thank you for your detailed solution.

Algebra ->  Functions -> SOLUTION: If 5X + 2y = 4 and -4 < x is less than or equal to 4, find the range of values of y. Thank you for your detailed solution.      Log On


   



Question 936858: If 5X + 2y = 4 and -4 < x is less than or equal to 4, find the range of values of y. Thank you for your detailed solution.
Answer by Fombitz(32388) About Me  (Show Source):
You can put this solution on YOUR website!
Rearrange the equation.
5x%2B2y=4
2y=-5x%2B4
y=-%285%2F2%29x%2B2
So when x=-4,
y=-%285%2F2%29%28-4%29%2B2=10%2B2=12
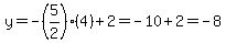
When x=4,
y=-%285%2F2%29%284%29%2B2=-10%2B2=-8
.
.
.
Range : (-8,12)
.
.
.