SOLUTION: The graph of a function F is a parabola that has the x-intercepts 7 and 13. The function has a minimum value of -12. The function is F(x) = Thank you

Algebra ->  Functions -> SOLUTION: The graph of a function F is a parabola that has the x-intercepts 7 and 13. The function has a minimum value of -12. The function is F(x) = Thank you      Log On


   



Question 932980: The graph of a function F is a parabola that has the x-intercepts 7 and 13. The function has a minimum value of -12.
The function is
F(x) =
Thank you

Found 2 solutions by ewatrrr, josgarithmetic:
Answer by ewatrrr(24785) About Me  (Show Source):
You can put this solution on YOUR website!
y = a(x-h)^2 - 12
.......
a(13-h)^2 - 12 = 0
-(a(7-h)^2 - 12 = 0)
a(13-h)^2 -a(7-h)^2 = 0
(13-h)^2 =(7-h)^2
h = 10
..........
0 =a(13-10)^2 - 12
12/9 = a
.......
y = (4/3)(x-10)^2 - 12


Answer by josgarithmetic(39633) About Me  (Show Source):
You can put this solution on YOUR website!
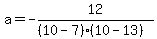
The function value of -12 occurs in the middle x value of 7 and 13.

f%28x%29=a%28x-7%29%28x-13%29, and you just need to find a.

a=f%28x%29%2F%28%28x-7%29%28x-13%29%29
Symmetry axis, x=%287%2B13%29%2F2=10.
a=-12%2F%28%2810-7%29%2810-13%29%29
a=12%2F9
a=4%2F3

The equation is f%28x%29=%284%2F3%29%28x-7%29%28x-13%29 in factored but not standard form.