SOLUTION: Determine the slope of the tangent to y=1/(1-x) at the point (2,-1) without constructing a table. Please explain what youre doing since the correspondence workbook I have is not

Algebra ->  Functions -> SOLUTION: Determine the slope of the tangent to y=1/(1-x) at the point (2,-1) without constructing a table. Please explain what youre doing since the correspondence workbook I have is not      Log On


   



Question 879286: Determine the slope of the tangent to y=1/(1-x) at the point (2,-1) without constructing a table.
Please explain what youre doing since the correspondence workbook I have is not clear at all as to proper steps for solving something like this. No we have not been taught derivatives but I think that is the best way to go about finding the answer to this question. I got the derivative f^1(x)= -x/(1-x)^2 but I dont know if thats correct or not.

Answer by josgarithmetic(39633) About Me  (Show Source):
You can put this solution on YOUR website!
(Minor but important adjustments in notation made to your description)

You could use a difference quotient to find the slope, but "taking derivative" using the rule developed in the study of Calculus should be more convenient.

I will use the power rule, since I find avoiding the quotient rule much preferable. Your equation is equivalently, y=%281-x%29%5E-1.

dy%2Fdx=-1%281-x%29%5E%28-2%29%2A%28-1%29, and be aware, the negative 1 at the end is the use of the Chain Rule.
Simplification is highlight%28dy%2Fdx=1%2F%281-x%29%5E2%29.
You say, give the steps for getting the derivative, but really all that was done was the use of the power rule and the chain rule.

Now, you want the slope of the function at (2,-1),
so calling slope dy/dx at the point (2,-1), you want the value of the derivative at that point.

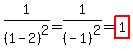
dy/dx for point (2,-1) is 1%2F%281-2%29%5E2=1%2F%28-1%29%5E2=highlight%281%29.

The slope of the tangent line at (2,-1) is 1.

To be sure that (2,-1) is a point on the given function, plugin x and see if you obtain y:
1%2F%281-2%29
1%2F%28-1%29
-1
Yes, that point is on the graph for the function.


--
The Difference Quotient is briefly shown and a few exercises given in College Algebra, and in PreCalculus. Limits are introduced and studied in College Algebra and in PreCalculus. Limits and especially rates of change of functions (meaning derivatives of functions) are studied in Calculus & Analytic Geometry.