|
Question 860114: I have the following question which I need to answer but don't quite know how to do because we have not covered it at all. It is as follows:
"The page layout of a new mathematics book is being designed. Each page is to have a top and bottom margin of 3cm and left and right margins of 2cm. If the printed area inside the margins must be 200cm^2, find the expression for the area of the entire page (including the area of the margins) in terms of the full width of the page. What is the domain of this function? What sort of function is it (cubic, quadratic or..?) HINT: for the last part of the question, you may need to put two terms over a common denominator."
I need to do a small drawing apparently. Can someone please show me the answer for how to do it? Much appreciated and thanks in advance!!!
Zerinadee
Answer by josgarithmetic(39618) (Show Source):
You can put this solution on YOUR website! Let x be width of the print region from left to right.
Let y be the height of the print region from up to down.
Now, the full page dimensions are (x+2*2) and (y+2*3). You can and should draw what was just described.
Print area was given and you can say, . The area for the entire page is . Use the printed area equation to put the whole page area in terms of x.
substitute into the expression for full page area:


in purely factored form,
Or
in "simplified" form.
---------------BETTER---x and y PAGE DIMENSIONS----------------
Trying again,
x width of page
y height of page
Total PRINT area, ; you need to draw a picture to see that.
Solve for y,





Now, TOTAL PAGE AREA is .
Just substitute the expression found for y.
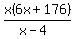
Page Area is 
, which is really what your question asked for, total page area in terms of the width, x.
|
|
|
| |