SOLUTION: Rational Expressions, Multiplying. ^ symbol means exponent. Please solve. Multiply and Simplify. 21a-14a^2 6a^2+11a+3 __________ . ___________ 9a^2+6a+1

Algebra ->  Functions -> SOLUTION: Rational Expressions, Multiplying. ^ symbol means exponent. Please solve. Multiply and Simplify. 21a-14a^2 6a^2+11a+3 __________ . ___________ 9a^2+6a+1       Log On


   



Question 722036: Rational Expressions, Multiplying. ^ symbol means exponent. Please solve.
Multiply and Simplify.
21a-14a^2 6a^2+11a+3
__________ . ____________
9a^2+6a+1 4a^2-9

Answer by josgarithmetic(39632) About Me  (Show Source):
You can put this solution on YOUR website!
21a-14a^2 6a^2+11a+3
__________ . ____________
9a^2+6a+1 4a^2-9

You mean THIS:



Factor everything that you can.

Begin eliminating any redundant factors of 1 that you can. See the 3a+1?
%287a%283-2a%29%2F%283a%2B1%29%29%2A%28%282a%2B3%29%2F%28%282a%2B3%29%282a-3%29%29%29, what else? 2a+3?
%287a%283-2a%29%2F%283a%2B1%29%29%2A%281%2F%28%282a-3%29%29%29, and still more.

Note that 3-2a=-1%2A%282a-3%29.
%287a%283-2a%29%2F%283a%2B1%29%29%2A%281%2F%28%282a-3%29%29%29
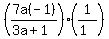
=%287a%28-1%29%282a-3%29%2F%283a%2B1%29%29%2A%281%2F%28%282a-3%29%29%29
=%287a%28-1%29%2F%283a%2B1%29%29%2A%281%2F%281%29%29
When all simplified, result is highlight%28%28-7a%2F%283a%2B1%29%29%29