SOLUTION: Please help me solve these equations please! Thank you! Let f(x)= 2x+3 and g(x)=x^2-x Find Each Value Problem 1: (f+g)(1/2) Problem 2: (f*g)(1) Problem 3:(f/g)

Algebra ->  Functions -> SOLUTION: Please help me solve these equations please! Thank you! Let f(x)= 2x+3 and g(x)=x^2-x Find Each Value Problem 1: (f+g)(1/2) Problem 2: (f*g)(1) Problem 3:(f/g)      Log On


   



Question 709128: Please help me solve these equations please! Thank you!
Let f(x)= 2x+3 and g(x)=x^2-x Find Each Value

Problem 1: (f+g)(1/2)

Problem 2: (f*g)(1)


Problem 3:(f/g)(2)

Problem 4: (f of g) (5)

Answer by josgarithmetic(39799) About Me  (Show Source):
You can put this solution on YOUR website!
Using just #3 as an example:

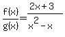
You want the function which is the ratio of f to g, and then evaluate at x=2.
f%28x%29%2Fg%28x%29=%282x%2B3%29%2F%28x%5E2-x%29
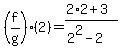
and for x=2, evaluate this:
%28f%2Fg%29%282%29=%282%2A2%2B3%29%2F%282%5E2-2%29
and you can finish that.


Problem #4 is composition of functions. g(x) is used as input to f(x), and the result is to be evaluated at x=5.

f(g(x))=2()+3,.... not finished. We want to put g(x) into the missing parentheses position...
f%28g%28x%29%29=2%28x%5E2-x%29%2B3
=2x%5E2-2x%2B3 --------we could use either form of the function.
NOW use x=5 and evaluate f(g(5)).