SOLUTION: Simplify and state restrictions (if any) ((x^2-16)/(x^2+5x+6))/((x^2+5x+4)/(x^2-2x-8))

Algebra ->  Functions -> SOLUTION: Simplify and state restrictions (if any) ((x^2-16)/(x^2+5x+6))/((x^2+5x+4)/(x^2-2x-8))      Log On


   



Question 706328: Simplify and state restrictions (if any)

((x^2-16)/(x^2+5x+6))/((x^2+5x+4)/(x^2-2x-8))

Answer by jim_thompson5910(35256) About Me  (Show Source):
You can put this solution on YOUR website!
%28%28x%5E2-16%29%2F%28x%5E2%2B5x%2B6%29%29%2F%28%28x%5E2%2B5x%2B4%29%2F%28x%5E2-2x-8%29%29 Start with the given expression.


%28%28x%5E2-16%29%2F%28x%5E2%2B5x%2B6%29%29%28%28x%5E2-2x-8%29%2F%28x%5E2%2B5x%2B4%29%29 Multiply the first fraction by the reciprocal of the second fraction.


Factor x%5E2-16 to get %28x-4%29%2A%28x%2B4%29.


Factor x%5E2%2B5x%2B6 to get %28x%2B3%29%2A%28x%2B2%29.


Factor x%5E2-2x-8 to get %28x%2B2%29%2A%28x-4%29.


Factor x%5E2%2B5x%2B4 to get %28x%2B4%29%2A%28x%2B1%29.


Combine the fractions.


Highlight the common terms.


Cancel out the common terms.


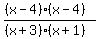
%28%28x-4%29%28x-4%29%29%2F%28%28x%2B3%29%28x%2B1%29%29 Simplify.


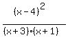
%28%28x-4%29%5E2%29%2F%28%28x%2B3%29%28x%2B1%29%29 Recombine.

==============================================================================

Answer:


So %28%28x%5E2-16%29%2F%28x%5E2%2B5x%2B6%29%29%2F%28%28x%5E2%2B5x%2B4%29%2F%28x%5E2-2x-8%29%29 simplifies to %28%28x-4%29%5E2%29%2F%28%28x%2B3%29%28x%2B1%29%29.


In other words, for all values of x

BUT

x cannot equal the following numbers: -3, -2, -1, -4, and 4

Why not? Because if x is any of those values, then one of the denominators (either a piece or a whole) will be zero. Remember you CANNOT divide by zero.

For example, if x = -1, then the denominator x%5E2%2B5x%2B4 will be zero.

So that's why we must make this restriction.