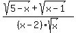
SOLUTION: Find the domain for f(x)= {{{(sqrt(5-x)+sqrt(x-1))/(x-2)sqrt(x)}}} Thanks for any help!

Algebra ->  Functions -> SOLUTION: Find the domain for f(x)= {{{(sqrt(5-x)+sqrt(x-1))/(x-2)sqrt(x)}}} Thanks for any help!      Log On


   



Question 691448: Find the domain for f(x)= %28sqrt%285-x%29%2Bsqrt%28x-1%29%29%2F%28x-2%29sqrt%28x%29
Thanks for any help!

Found 2 solutions by lynnlo, stanbon:
Answer by lynnlo(4176) About Me  (Show Source):
You can put this solution on YOUR website!
DOMAIN IS
X#2,X#0,X≥0,
X=0,U[0,2]U(2,∞)
AS YOU KNOW THE
SYMBOL NEXT TO THE X SHOULD BE THE EQUAL SIGN WITH THE LINE IN IT

Answer by stanbon(75887) About Me  (Show Source):
You can put this solution on YOUR website!
Find the domain for f(x)= [sqrt(5-x)+sqrt(x-1)]/[(x-2)sqrt(x)]
----
sqrt(x) requires x >= 0
---
x-2 in the denominator requires x # 2
-----
sqrt(5-x) requires x <= 5
-----
sqrt(x-1) requires x >= 1
======
Putting that all together the domain is [1,2)U(2,5]
=====================
Cheers,
Stan H.