SOLUTION: if f(x)=1/square root of x-1 and g(x)=x^2+1 evaluate (f+g)(x)

Algebra ->  Functions -> SOLUTION: if f(x)=1/square root of x-1 and g(x)=x^2+1 evaluate (f+g)(x)      Log On


   



Question 672242: if f(x)=1/square root of x-1 and g(x)=x^2+1 evaluate (f+g)(x)
Answer by MathLover1(20855) About Me  (Show Source):
You can put this solution on YOUR website!
f%28x%29=%281%2Fsqrt%28x-1%29%29 and g%28x%29=x%5E2%2B1 evaluate %28f%2Bg%29%28x%29

%28f+%2B+g%29%28x%29+=+f%28x%29+%2B+g%28x%29+

=%281%2Fsqrt%28x-1%29%29%2Bx%5E2%2B1

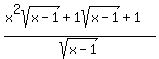
=%281%2Bx%5E2sqrt%28x-1%29%2B1sqrt%28x-1%29%29%2Fsqrt%28x-1%29

=%28x%5E2sqrt%28x-1%29%2B1sqrt%28x-1%29%2B1%29%2Fsqrt%28x-1%29