SOLUTION: calculate the first derivative f'(x) for each of the following. Express your final answers using positive exponents A. f(x)= 5/6x^3/4 + 5/6x^3/2 + 2/5x^3/2 B. f(x)=3/2x^3/2 +

Algebra ->  Functions -> SOLUTION: calculate the first derivative f'(x) for each of the following. Express your final answers using positive exponents A. f(x)= 5/6x^3/4 + 5/6x^3/2 + 2/5x^3/2 B. f(x)=3/2x^3/2 +      Log On


   



Question 63959: calculate the first derivative f'(x) for each of the following. Express your final answers using positive exponents
A. f(x)= 5/6x^3/4 + 5/6x^3/2 + 2/5x^3/2
B. f(x)=3/2x^3/2 + 3/2x^3/4 + 3/2x^2/3
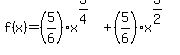
C.f(x)= 5/6x^3/4 + 5/6x^3/2

I NEED HELP WITH THESE PROBLEMS...I WOULD APPRECIATE THE HELP..I'VE TRIED TO DO THEM BUT IT DOESN'T COME OUT RIGHT...

Answer by funmath(2933) About Me  (Show Source):
You can put this solution on YOUR website!
calculate the first derivative f'(x) for each of the following. Express your final answers using positive exponents
A.
f%28x%29=%285%2F6%29x%5E%283%2F4%29%2B%285%2F6%2B2%2F5%29x%5E%283%2F2%29
f%28x%29=%285%2F6%29x%5E%283%2F4%29%2B%2837%2F30%29x%5E%283%2F2%29
f'(x)=%283%2F4%29%285%2F6%29x%5E%283%2F4-1%29%2B%283%2F2%29%2837%2F30%29x%5E%283%2F2-1%29
f'(x)=%285%2F8%29x%5E%28-1%2F4%29%2B%2837%2F20%29x%5E%281%2F2%29
f'(x)=5%2F8x%5E%281%2F4%29%2B%2837%2F20%29x%5E%281%2F2%29
:
B.
f'(x)=
f'(x)=%289%2F4%29x%5E%281%2F2%29%2B%289%2F8%29x%5E%28-1%2F4%29%2Bx%5E%28-1%2F3%29
f'(x)=%289%2F4%29x%5E%281%2F2%29%2B9%2F8x%5E%281%2F4%29%2B1%2Fx%5E%281%2F3%29
:
C.f%28x%29=%285%2F6%29x%5E%283%2F4%29%2B%285%2F6%29x%5E%283%2F2%29
f'(x)=%283%2F4%29%285%2F6%29x%5E%283%2F4-1%29%2B%283%2F2%29%285%2F6%29x%5E%283%2F2-1%29
f'(x)=%285%2F8%29x%5E%28-1%2F4%29%2B%285%2F4%29x%5E%281%2F2%29
f'(x)=5%2F8x%5E%281%2F4%29%2B5x%5E%281%2F2%29%2F4
:
Happy Calculating!!!