SOLUTION: If f(x)=1-3x and g(x)= 1/(x^2+1), find f(g(0)) and g(f(1))
Algebra
->
Functions
-> SOLUTION: If f(x)=1-3x and g(x)= 1/(x^2+1), find f(g(0)) and g(f(1))
Log On
Algebra: Functions, Domain, NOT graphing
Section
Solvers
Solvers
Lessons
Lessons
Answers archive
Answers
Click here to see ALL problems on Functions
Question 327226
:
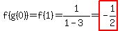
If f(x)=1-3x and g(x)= 1/(x^2+1), find f(g(0)) and g(f(1))
Answer by
Fombitz(32388)
(
Show Source
):
You can
put this solution on YOUR website!
.
.
.