SOLUTION: I am working on functions (fractions/ division) but I am stumped. Any help is appreciated. compute and then simplify the quantity f (a + h) − f (a): f(x)=2/x+1 thank

Algebra ->  Functions -> SOLUTION: I am working on functions (fractions/ division) but I am stumped. Any help is appreciated. compute and then simplify the quantity f (a + h) − f (a): f(x)=2/x+1 thank      Log On


   



Question 295296: I am working on functions (fractions/ division) but I am stumped. Any help is appreciated.
compute and then simplify the quantity f (a + h) − f (a):
f(x)=2/x+1
thank you

Answer by jim_thompson5910(35256) About Me  (Show Source):
You can put this solution on YOUR website!
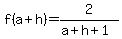
First, let's compute f%28a%2Bh%29, we do this by simply replacing each 'x' with 'a+h' and simplifying. So f%28a%2Bh%29=2%2F%28a%2Bh%2B1%29

Similarly, doing the same for f%28a%29 gets us f%28a%29=2%2F%28a%2B1%29


This then means that f%28a%2Bh%29-f%28a%29=2%2F%28a%2Bh%2B1%29-2%2F%28a%2B1%29


So the goal now is to simplify 2%2F%28a%2Bh%2B1%29-2%2F%28a%2B1%29


Take note that the LCD is %28a%2Bh%2B1%29%28a%2B1%29. So multiply the first fraction by %28a%2B1%29%2F%28a%2B1%29 to get %282%28a%2B1%29%29%2F%28%28a%2Bh%2B1%29%28a%2B1%29%29-2%2F%28a%2B1%29


Now multiply the second fraction by %28a%2Bh%2B1%29%2F%28a%2Bh%2B1%29 to get


Combine the fractions: %282%28a%2B1%29-2%28a%2Bh%2B1%29%29%2F%28%28a%2Bh%2B1%29%28a%2B1%29%29


Distribute: %282a%2B2-2a-2h-2%29%2F%28%28a%2Bh%2B1%29%28a%2B1%29%29


And finally combine like terms: %28-2h%29%2F%28%28a%2Bh%2B1%29%28a%2B1%29%29


So in the end, f%28a%2Bh%29-f%28a%29=%28-2h%29%2F%28%28a%2Bh%2B1%29%28a%2B1%29%29