|
Question 216335: let f(x)=2x^2+3x-5 g(x)=4 solve for fog and gof
Answer by jsmallt9(3759) (Show Source):
You can put this solution on YOUR website! 

To solve for fog (pronounced "f of g") and gof ("pronounced g of f") it helps to understand function notation well. When you are given a formula (or rule) for a function (like ) it is important to understand the role of "x". It is simply a place-holder. It represents whatever input you provide to the function. And the rule illustrates what the particular function will do with its input in determining the output for that input.
So when you see it shows you what that function f will do with its input, "x". It will square it, multiply that by 2, add 3 times the input and then subtract 5. The function f will do this to any input you give it.





For , since there is no "x" in the rule, the function g ignores the input! It simply returns a 4 no matter what input is given to the function!



etc.
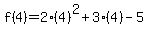
So now we are in position to figure out your problem. fog ("f of g") is another way of saying f(g(x)). Since g(x) = 4, f(g(x)) = f(4). And we saw above what f does to its input. It squares it, multiplies that by 2, etc. This is what it will do to 4:

Now all we have to do is go through the Order of Operations (aka PEMDAS) to simplify it:



So fog = f(g(x)) = f(4) = 39
gof ("g of f") is another way of saying g(f(x)). Now, as we saw above, the g function totally ignores its input and simply returns 4 all the time. So gof = g(f(x)) = 4!
|
|
|
| |