SOLUTION: Can someone please help me a.s.a.p? The solutions to ((1)/(x+2))-((2)/(x-1))>0 My answer options are: a.(-infinity,5)U(1,infinity) b.(-infinity,-5)U(-2,1) c.(-5,-2)U(1,5) d.(

Algebra ->  Functions -> SOLUTION: Can someone please help me a.s.a.p? The solutions to ((1)/(x+2))-((2)/(x-1))>0 My answer options are: a.(-infinity,5)U(1,infinity) b.(-infinity,-5)U(-2,1) c.(-5,-2)U(1,5) d.(      Log On


   



Question 124605This question is from textbook Precalculus
: Can someone please help me a.s.a.p?
The solutions to ((1)/(x+2))-((2)/(x-1))>0
My answer options are:
a.(-infinity,5)U(1,infinity)
b.(-infinity,-5)U(-2,1)
c.(-5,-2)U(1,5)
d.(-2,1)U(5,infinity)
I thought the answer was b., what do you think? Thanks
This question is from textbook Precalculus

Answer by Edwin McCravy(20067) About Me  (Show Source):
You can put this solution on YOUR website!

Can someone please help me a.s.a.p?
The solutions to 1%2F%28x%2B2%29-2%2F%28x-1%29%3E0
My answer options are:
a.(-infinity,5)U(1,infinity)
b.(-infinity,-5)U(-2,1)
c.(-5,-2)U(1,5)
d.(-2,1)U(5,infinity)
I thought the answer was b., what do you think? Thanks


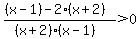
1%2F%28x%2B2%29-2%2F%28x-1%29%3E0

Get LCD on the left:

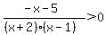
%28%28x-1%29-2%28x%2B2%29%29%2F%28%28x%2B2%29%28x-1%29%29%3E0

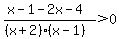
%28x-1-2x-4%29%2F%28%28x%2B2%29%28x-1%29%29%3E0

%28-x-5%29%2F%28%28x%2B2%29%28x-1%29%29%3E0

To find the critical values, set each factor
of the numerator and the denominator = 0, and
solve for x:

-x-5=0 yields critical value x = -5

x%2B2=0 yields critical value x = -2

x-1=0 yields critical value x = 1

Mark the critical values on a number line:

-------o--------o--------o------
-7 -6 -5 -4 -3 -2 -1  0  1  2  3

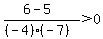
Pick any value left of -5, say -6.
Substitute it into:

%28-x-5%29%2F%28%28x%2B2%29%28x-1%29%29%3E0
%28-%28-6%29-5%29%2F%28%28-6%2B2%29%28-6-1%29%29%3E0
%286-5%29%2F%28%28-4%29%28-7%29%29%3E0
1%2F28%3E0

That is true, so shade the part of the number
line to the left of -5.

<======o--------o--------o------
-7 -6 -5 -4 -3 -2 -1  0  1  2  3

Next, pick any value between of -5 and -2, say -3.
Substitute it into:

%28-x-5%29%2F%28%28x%2B2%29%28x-1%29%29%3E0
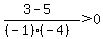
%28-%28-3%29-5%29%2F%28%28-3%2B2%29%28-3-1%29%29%3E0
%283-5%29%2F%28%28-1%29%28-4%29%29%3E0
%28-2%29%2F4%3E0
-1%2F2%3E0

That is false, so do not shade the part of the number
line between -5 and -3, so we still have:

<======o--------o--------o------
-7 -6 -5 -4 -3 -2 -1  0  1  2  3  

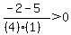
Pick any value between -2 and 1, say 0.
Substitute it into:

%28-x-5%29%2F%28%28x%2B2%29%28x-1%29%29%3E0
%28-%280%29-5%29%2F%28%280%2B2%29%280-1%29%29%3E0
%280-5%29%2F%28%282%29%28-1%29%29%3E0
%28-5%29%2F%28-2%29%3E0
5%2F2%3E0

That is true, so shade the part of the number
line between -2 and 1.

<======o--------o========o------
-7 -6 -5 -4 -3 -2 -1  0  1  2  3

Pick any value right of 1, say 2.
Substitute it into:

%28-x-5%29%2F%28%28x%2B2%29%28x-1%29%29%3E0
%28-%282%29-5%29%2F%28%282%2B2%29%282-1%29%29%3E0
%28-2-5%29%2F%28%284%29%281%29%29%3E0
-7%2F4%3E0

That is false, so do not shade the part of the number
line to the right of 1.

So far the number line so far gives: 

<======o--------o========o------
-7 -6 -5 -4 -3 -2 -1  0  1  2  3

We are technically supposed to test the critical values
themselves to see if they are solutions.  But none do
since substituting -5 or -1 for x gives 0 > 0, and
substituting 1 for x causes the left side to be undefined.

So that number line is represented by this interval notation: 

(-oo,-5) U (-2,1)

So you are correct since that's choice b.

Edwin