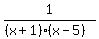
SOLUTION: How do I find the domain to this function: f(x)=1/(x^2-4x-5)
Algebra
->
Functions
-> SOLUTION: How do I find the domain to this function: f(x)=1/(x^2-4x-5)
Log On
Algebra: Functions, Domain, NOT graphing
Section
Solvers
Solvers
Lessons
Lessons
Answers archive
Answers
Click here to see ALL problems on Functions
Question 1206139
:
How do I find the domain to this function: f(x)=1/(x^2-4x-5)
Answer by
josgarithmetic(39799)
(
Show Source
):
You can
put this solution on YOUR website!
What values can f accept for x? That is the domain.
Can x=-1 be used? No.
Can x=5 be used? No.
The domain for f(x) is (-oo, -1) and (-1, 5) and (5, oo).