SOLUTION: Consider the following relation. 5x − 2y = 3x − 6y Evaluate the function found in the previous step at x = −2. f(-2) =

Algebra ->  Functions -> SOLUTION: Consider the following relation. 5x − 2y = 3x − 6y Evaluate the function found in the previous step at x = −2. f(-2) =       Log On


   



Question 1187657: Consider the following relation.
5x − 2y = 3x − 6y
Evaluate the function found in the previous step at x = −2.
f(-2) =

Answer by MathLover1(20850) About Me  (Show Source):
You can put this solution on YOUR website!

5x+2y+=+3x++6y.....first solve for y
+6y%E2%88%92+2y+=+3x+-5x
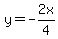
+4y+=+-2x
+y+=+-2x%2F4
+y+=+-x%2F2
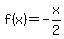
replace y with f%28x%29
+f%28x%29=+-x%2F2

Evaluate the function found in the previous step at+x+=-2.
f%28-2%29+=+-%28-2%29%2F2
f%28-2%29+=+2%2F2
f%28-2%29+=+1