SOLUTION: f(x) = (ax^2 + a^2(x) - 2)/(x^3 - 3x + 2) is there a real number of a in which lim x -> 1 f(x) exists? If so what is the value of a and what is the limit?

Algebra ->  Functions -> SOLUTION: f(x) = (ax^2 + a^2(x) - 2)/(x^3 - 3x + 2) is there a real number of a in which lim x -> 1 f(x) exists? If so what is the value of a and what is the limit?      Log On


   



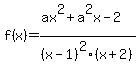
Question 1163347: f(x) = (ax^2 + a^2(x) - 2)/(x^3 - 3x + 2)
is there a real number of a in which lim x -> 1 f(x) exists? If so what is the value of a and what is the limit?

Answer by Edwin McCravy(20060) About Me  (Show Source):
You can put this solution on YOUR website!
f%28x%29+=+%28ax%5E2+%2B+a%5E2x+-+2%29%2F%28x%5E3+-+3x+%2B+2%29

Factor the denominator using potential zeros and synthetic division.

Potential zeros are ±1, ±2.  Try 1

1|1 0 -3  2
 |  1  1 -2
  1 1 -2  0

So it works and thus we have factored the denominator as

(x-1)(x²+x-2)
(x-1)(x-1)(x+2)
(x-1)²(x+2)

f%28x%29+=+%28ax%5E2+%2B+a%5E2x+-+2%29%2F%28x-1%29%5E2%28x%2B2%29

The factor (x+2) does not become 0 when x=1, so if the
numerator could be a multiple of (x-1)² then that factor
would cancel into the top, creating a new function g(x)
which is equal to f(x) for all x except 1.  Its value
at 1 would be defined, and thus f(x) would approach its
value as x->1. So we will see if there is a constant k 
that would permit this cancellation. If so, we would
have this identity:

ax%5E2+%2B+a%5E2x+-+2=k%28x-1%29%5E2

ax%5E2+%2B+a%5E2x+-+2=k%28x%5E2-2x%2B1%29

ax%5E2+%2B+a%5E2x+-+2=kx%5E2-2kx%2Bk

So the constant terms would have to be the same:

k=-2.  And if we substitute k=-2:

ax%5E2+%2B+a%5E2x+-+2=-2x%5E2-2%28-2%29x-2
ax%5E2+%2B+a%5E2x+-+2=-2x%5E2%2B4x-2

So they will be identical if a = -2. 

ax%5E2+%2B+a%5E2x+-+2=-2%28x%5E2-2x%2B1%29
ax%5E2+%2B+a%5E2x+-+2=-2%28x-1%29%5E2

So we substitute for the numerator in

f%28x%29+=+%28ax%5E2+%2B+a%5E2x+-+2%29%2F%28x-1%29%5E2%28x%2B2%29

and get

f%28x%29+=+%28-2%28x-1%29%5E2%29%2F%28x-1%29%5E2%28x%2B2%29

Now, after canceling, we have the new function 
g(x) which is identical to f(x) except for one
point:

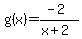
g%28x%29+=+%28-2%29%2F%28x%2B2%29

Then the limit of f(x) as x -> 1 will equal g(1) 
which is

g%281%29+=+%28-2%29%2F%281%2B2%29=+-2%2F3

Answer: a=-2 and the limit = -2/3.

Edwin