SOLUTION: Let p(x) = x^6 - 3x^4 + 2x^2 (a) Factor p completely. (b) Find the real zeros of p. (c) Sketch the graph of p.

Algebra ->  Functions -> SOLUTION: Let p(x) = x^6 - 3x^4 + 2x^2 (a) Factor p completely. (b) Find the real zeros of p. (c) Sketch the graph of p.       Log On


   



Question 1156234: Let p(x) = x^6 - 3x^4 + 2x^2
(a) Factor p completely.
(b) Find the real zeros of p.
(c) Sketch the graph of p.

Found 2 solutions by josgarithmetic, ikleyn:
Answer by josgarithmetic(39632) About Me  (Show Source):
You can put this solution on YOUR website!
----
p(x) = x^6 - 3x^4 + 2x^2
----

x%5E2%28x%5E4-3x%5E2%2B2%29
x%5E2%28x%5E2-1%29%28x%5E2-2%29
x%5E2%28x%2B1%29%28x-1%29%28x%5E2-2%29

The REAL zeros are -1, 0, and 1. The "0" has multiplicity two.

(There are also two other complex real, irrational zeros.)


graph%28400%2C400%2C-5%2C5%2C-5%2C5%2Cx%5E6-3x%5E4%2B2x%5E2%29

Answer by ikleyn(52943) About Me  (Show Source):
You can put this solution on YOUR website!
.

The answer to the problem in the post by @josgarithmetic  IS  NOT  CORRECT.

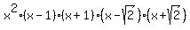
The correct answer is  THIS:

    This polynomial of the degree 6 has 6 real roots:


       -sqrt%282%29, -1, 0 of the multiplicity 2, 1, and sqrt%282%29.


    All its roots are real numbers.


    The correct factoring into the product of 6 binomials is

        p(x) = x%5E2%2A%28x-1%29%2A%28x%2B1%29%2A%28x-sqrt%282%29%29%2A%28x%2Bsqrt%282%29%29.