SOLUTION: Please help with this calculus max and min question Find the absolute maximum and absolute minimum values of f on the given interval. (Round all answers to two decimal places.)

Algebra ->  Functions -> SOLUTION: Please help with this calculus max and min question Find the absolute maximum and absolute minimum values of f on the given interval. (Round all answers to two decimal places.)       Log On


   



Question 1155999: Please help with this calculus max and min question
Find the absolute maximum and absolute minimum values of f on the given interval. (Round all answers to two decimal places.)
f(x) = x(e^-x^2/98)
[-4, 14]

Answer by MathLover1(20850) About Me  (Show Source):
You can put this solution on YOUR website!
f%28x%29+=+matrix%282%2C1%2C%22%22%2Cx%2A%28e%5E%28-x%5E2%2F98%29%29%29
[-4,14]

derivate to find critical points:

f'

equal to zero:


-%281%2F49%29%2A+matrix%282%2C1%2C%22%22%2Ce%5E%28-x%5E2%2F98%29%29+%2A%28x%5E2+-+49%29=0 ......since will be equal to zero if

matrix%282%2C1%2C%22%22%2Ce%5E%28-x%5E2%2F98%29%29+=0 or %28x%5E2+-+49%29=0

matrix%282%2C1%2C%22%22%2Ce%5E%28-x%5E2%2F98%29+%29+=0=> solution does not exist

%28x%5E2+-+49%29=0
%28x+-+7%29%28x%2B7%29=0
=>x=7 or x=-7

f%287%29+=+matrix%282%2C1%2C%22%22%2C7%28e%5E%28-7%5E2%2F98%29%29%29
f%287%29+=+matrix%282%2C1%2C%22%22%2C7%28e%5E%28-49%2F98%29%29%29
f%287%29+=+matrix%282%2C1%2C%22%22%2C7%28e%5E%28-1%2F2%29%29%29
f%287%29+=+7sqrt%28e%29

f%287%29+=+11.54


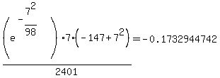
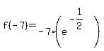
f%28-7%29+=+matrix%282%2C1%2C%22%22%2C-7%28e%5E%28-%28-7%29%5E2%2F98%29%29%29
f%28-7%29+=+matrix%282%2C1%2C%22%22%2C-7%28e%5E%28-49%2F98%29%29%29
f%28-7%29+=+matrix%282%2C1%2C%22%22%2C-7%28e%5E%28-1%2F2%29%29%29
f%28-7%29+=+-7sqrt%28e%29
f%287%29+=+-11.54

both solutions are in given interval
use second derivative test to determine at what point is maximum and minimum:
f''

if x=7

=> negative, so at x=7 is a max

if x=-7
=> positive, so at x=-7 is a min


+graph%28+600%2C+600%2C+-10%2C+10%2C+-10%2C+10%2C+x%2A%28e%5E%28-x%5E2%2F98%29%29%29+