SOLUTION: Let f(x) = (x^2 + 3x + 1), g(x) = (3x + 1) and h(x) = 3x + (2/x). Find (fogoh)(x)

Algebra ->  Functions -> SOLUTION: Let f(x) = (x^2 + 3x + 1), g(x) = (3x + 1) and h(x) = 3x + (2/x). Find (fogoh)(x)      Log On


   



Question 1138461: Let f(x) = (x^2 + 3x + 1), g(x) = (3x + 1) and h(x) = 3x + (2/x). Find (fogoh)(x)
Answer by MathLover1(20850) About Me  (Show Source):
You can put this solution on YOUR website!

given:

f%28x%29+=+%28x%5E2+%2B+3x+%2B+1%29,
g%28x%29+=+%283x+%2B+1%29 and
h%28x%29+=+3x+%2B+%282%2Fx%29

Find
(fogoh)(x)

(fogoh)(x)=f%28g%28h%28x%29%29%29

first find g%28h%28x%29%29
g%28h%28x%29%29=g%283x+%2B+%282%2Fx%29%29
g%28h%28x%29%29=3%283x+%2B+%282%2Fx%29%29+%2B+1%29
g%28h%28x%29%29=9x+%2B+6%2Fx+%2B+1

now find
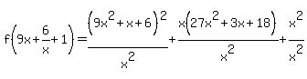
f%289x+%2B+6%2Fx+%2B+1%29=%289x+%2B+6%2Fx+%2B+1%29%5E2+%2B+3%289x+%2B+6%2Fx+%2B+1%29+%2B+1



f%289x+%2B+6%2Fx+%2B+1%29=%2881+x%5E4+%2B+45+x%5E3+%2B+113+x%5E2+%2B+30x+%2B+36%29%2Fx%5E2
f%289x+%2B+6%2Fx+%2B+1%29=81+x%5E2+%2B+%2830x+%2B+36%29%2Fx%5E2+%2B+45x+%2B+113
f%289x+%2B+6%2Fx+%2B+1%29=81+x%5E2+%2B+6%285x+%2B+6%29%2Fx%5E2+%2B+45x+%2B+113

=>f%28g%28h%28x%29%29%29=81+x%5E2+%2B+6%285x+%2B+6%29%2Fx%5E2+%2B+45x+%2B+113