SOLUTION: The volume of a sphere as a function of its radius is given by V(r)=4/3 pi r^3. The surface area of a sphere is given by A = 4pi r^2. a) find the volume V as a function of the

Algebra ->  Functions -> SOLUTION: The volume of a sphere as a function of its radius is given by V(r)=4/3 pi r^3. The surface area of a sphere is given by A = 4pi r^2. a) find the volume V as a function of the      Log On


   



Question 1114869: The volume of a sphere as a function of its radius is given by V(r)=4/3 pi r^3. The surface area of a sphere is given by A = 4pi r^2.
a) find the volume V as a function of the surface area, A. Simplify your answer as much as possible.
b) Find the surface area, A, as a function of the volume V. Simplify your answer as much as possible.

Answer by josgarithmetic(39618) About Me  (Show Source):
You can put this solution on YOUR website!
r%5E2=A%2F%284pi%29
r=sqrt%28A%2F%284pi%29%29
r=%281%2F2%29%2Asqrt%28A%2Fpi%29
-
V%28A%29=%284%2F3%29pi%2A%28%281%2F2%29sqrt%28A%2Fpi%29%29%5E3
V%28A%29=%284%2F3%29%281%2F8%29%2Api%2A%28A%2Fpi%29%5E%283%2F2%29
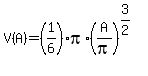
V%28A%29=%281%2F6%29pi%2A%28A%2Fpi%29%5E%283%2F2%29
The form could still be simplified or adjusted further.