SOLUTION: Let f(x)=4-x^ and g(x)=2-x. Find f/g(x).

Algebra ->  Functions -> SOLUTION: Let f(x)=4-x^ and g(x)=2-x. Find f/g(x).      Log On


   



Question 109845: Let f(x)=4-x^ and g(x)=2-x. Find f/g(x).
Answer by MathLover1(20850) About Me  (Show Source):
You can put this solution on YOUR website!
Let f(x)=4-x^ ….do you have here x%5E2 or x?

if you have x%5E2, then we have:
f%28x%29+=+4-x%5E2
g%28x%29+=+2-x
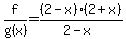
Then: f%2Fg%28x%29+=+%284-x%5E2%29%2F%28+2-x%29……….in nominator, 4 we can write as 2%5E2
f%2Fg%28x%29+=+%282%5E2-x%5E2%29%2F%28+2-x%29……….now we have the difference of square numbers and we can write it as %282-x%29%282%2Bx%29
f%2Fg%28x%29+=+%282-x%29%282%2Bx%29%2F%28+2-x%29……….cancel 2-x
f%2Fg%28x%29+=+2+%2B+x……….solution

But, if you have x, then we will have:
f%28x%29+=+4-x
g%28x%29+=+2-x
Then: f%2Fg%28x%29+=+%284-x%29%2F%28+2-x%29………. this is a graphical form that simplifies to
f%2Fg%28x%29+=+%28-x+%2B+4%29%2F%28+-x+%2B+2%29……….