SOLUTION: Kindly help me solving it i tried my best but I couldn't lim {{{((x+6)/(x+1))^(x+4)}}} is equal to x➡infinity A)6^4 B)1/e^5 C)e^5 D)none of these

Algebra ->  Functions -> SOLUTION: Kindly help me solving it i tried my best but I couldn't lim {{{((x+6)/(x+1))^(x+4)}}} is equal to x➡infinity A)6^4 B)1/e^5 C)e^5 D)none of these       Log On


   



Question 1044770: Kindly help me solving it i tried my best but I couldn't lim %28%28x%2B6%29%2F%28x%2B1%29%29%5E%28x%2B4%29 is equal to
x➡infinity
A)6^4
B)1/e^5
C)e^5
D)none of these

Answer by robertb(5830) About Me  (Show Source):
You can put this solution on YOUR website!
C)e%5E5.
lim%28x-%3Einfinity%2C+%28%28x%2B6%29%2F%28x%2B1%29%29%5E%28x%2B4%29%29
=
=
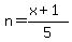
Let n+=+%28x%2B1%29%2F5
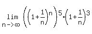
===> lim%28n-%3Einfinity%2C+%28%281+%2B+1%2Fn%29%5En%29%29%5E5%2A%281%2B1%2Fn%29%5E3
=
=
= e%5E5%2A1%5E3
= e%5E5, using the fact that lim%28n-%3Einfinity%2C+%281%2B1%2Fn%29%5En+%29=+e.