SOLUTION: Gilda walks to the train station. If she walks at the rate of 3 mph, she misses her train by 7 minutes. However, if she walks at the rate of 4 mph, she reaches the station 5 minute

Algebra ->  Functions -> SOLUTION: Gilda walks to the train station. If she walks at the rate of 3 mph, she misses her train by 7 minutes. However, if she walks at the rate of 4 mph, she reaches the station 5 minute      Log On


   



Question 1031941: Gilda walks to the train station. If she walks at the rate of 3 mph, she misses her train by 7 minutes. However, if she walks at the rate of 4 mph, she reaches the station 5 minutes before the arrival of the train. Find the distance Gilda walks to the station. David knew he made a mistake when he calculated that Gilda walks 123 miles to the station.
Read through David's calculations:
Using d = rt, the distance is the same, but the rate and time are different.
If Gilda misses the train, it means the time t needs 7 more minutes so d = 3(t + 7).
If she gets to the station 5 minutes early means the time t can be 5 minutes less so d = 4(t - 5).
3(t + 7) = 4(t - 5)
3t + 21 = 4t - 20
t = 41
d = rt, so d = 3(41) = 123
Find David's mistake in his calculations. Explain his mistake and include the correct calculations and solutions in your answer.

Found 2 solutions by josgarithmetic, MathTherapy:
Answer by josgarithmetic(39633) About Me  (Show Source):
You can put this solution on YOUR website!
Try analyzing and solving the described problem without checking first what David did.

             speed           time        distance

WALK          3              t%2B7%2F60       d

FASTER        4              t-5%2F60       d

Continue when that data makes sense to you.

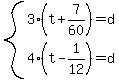
system%283%28t%2B7%2F60%29=d%2C4%28t-1%2F12%29=d%29

3t%2B7%2A3%2F60=4t-4%2F12
3t%2B7%2F20=4t-1%2F3
7%2F20=t-1%2F3
t=7%2F20%2B1%2F3
t=21%2F60%2B20%2F60
highlight_green%28t=41%2F60%29 meaning 41 minutes, the time from beginning the walk until train will leave.

d=4%2841%2F60-5%2F60%29, taking the second equation of the system.
d=4%2836%2F60%29
d=36%2F15
d=18%2F5
highlight%28d=2%263%2F5%29---------MILES

You can clearly see that at least one of David's mistakes was to forget the accounting properly for time units. Seven minutes is 7%2F60 hour, and 5 minutes is 5%2F60=1%2F12 hour.

Answer by MathTherapy(10559) About Me  (Show Source):
You can put this solution on YOUR website!

Gilda walks to the train station. If she walks at the rate of 3 mph, she misses her train by 7 minutes. However, if she walks at the rate of 4 mph, she reaches the station 5 minutes before the arrival of the train. Find the distance Gilda walks to the station. David knew he made a mistake when he calculated that Gilda walks 123 miles to the station.
Read through David's calculations:
Using d = rt, the distance is the same, but the rate and time are different.
If Gilda misses the train, it means the time t needs 7 more minutes so d = 3(t + 7).
If she gets to the station 5 minutes early means the time t can be 5 minutes less so d = 4(t - 5).
3(t + 7) = 4(t - 5)
3t + 21 = 4t - 20
t = 41
d = rt, so d = 3(41) = 123
Find David's mistake in his calculations. Explain his mistake and include the correct calculations and solutions in your answer.

DUPLICATE PROBLEM. See # 1029838
I worked it out then and I did get distance to be: 2.4 km also.
Why do some of you keep reposting problems that have already been answered? Are the solutions not enough?
By the way, itw's TOTALLY UNNECESSARY for David to calculate time. Time is not being sought, and so, should be EXCLUDED from the solution.
A TIME equation should be formed though.