SOLUTION: f(x)=2x^2-1 _______ x^2 a f(5) b f(-5) c f(-x)

Algebra ->  Functions -> SOLUTION: f(x)=2x^2-1 _______ x^2 a f(5) b f(-5) c f(-x)      Log On


   



Question 1031765: f(x)=2x^2-1
_______
x^2
a f(5)
b f(-5)
c f(-x)

Answer by jim_thompson5910(35256) About Me  (Show Source):
You can put this solution on YOUR website!
(a)


f%28x%29+=+%282x%5E2-1%29%2F%28x%5E2%29


f%285%29+=+%282%285%29%5E2-1%29%2F%28%285%29%5E2%29 Replace EVERY copy of x with 5


f%285%29+=+%282%2825%29-1%29%2F%2825%29


f%285%29+=+%2850-1%29%2F%2825%29


f%285%29+=+49%2F25


------------------------------------------------------------


(b)


f%28x%29+=+%282x%5E2-1%29%2F%28x%5E2%29


f%28-5%29+=+%282%28-5%29%5E2-1%29%2F%28%28-5%29%5E2%29 Replace EVERY copy of x with -5


f%28-5%29+=+%282%2825%29-1%29%2F%2825%29 See note below


f%28-5%29+=+%2850-1%29%2F%2825%29


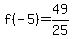
f%28-5%29+=+49%2F25


Note: squaring something like -5 yields a positive result since (-5)^2 = (-5)*(-5) = +25


------------------------------------------------------------


(c)


f%28x%29+=+%282x%5E2-1%29%2F%28x%5E2%29


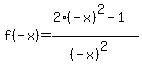
f%28-x%29+=+%282%28-x%29%5E2-1%29%2F%28%28-x%29%5E2%29 Replace EVERY copy of x with -x


Now because %28-x%29%5E2+=+x%5E2 (based on the note above) this means that we end up with


f%28-x%29+=+%282x%5E2-1%29%2F%28x%5E2%29


which is the same as the original function. Only the left side is different. Because f%28-x%29+=+f%28x%29, for all values of x in the domain of f(x), this means that f(x) is an even function. It is symmetric with respect to the y axis.