SOLUTION: =========== =========== =========== =========== =========== =========== =========== =========== ======= 3.21 Find f+g, f-g and f/g. Determine the domain for each function. f

Algebra ->  Functions -> SOLUTION: =========== =========== =========== =========== =========== =========== =========== =========== ======= 3.21 Find f+g, f-g and f/g. Determine the domain for each function. f      Log On


   



Question 1012855: =======================================================================================================
3.21
Find f+g, f-g and f/g. Determine the domain for each function.
f(x)=4x+8, g(x)=x-5
a. (f+g)(x)=
b.What is the domain of f+g:
c.(f-g)(x)=
d. What is the domain of f-g
e. (fg)(x)=
f. What is the domain of fg:
g. (f/g)(x)=
h. What is the domain of f/g:

Answer by MathLover1(20850) About Me  (Show Source):
You can put this solution on YOUR website!

Find f+g, f-g and f/g. Determine the domain for each function.
f%28x%29=4x%2B8, g%28x%29=x-5
a.
%28f%2Bg%29%28x%29=4x%2B8%2Bx-5
%28f%2Bg%29%28x%29=5x%2B3
b.What is the domain of f+g:
all real numbers: { x element R }

c.
%28f-g%29%28x%29=4x%2B8-%28x-5%29
%28f-g%29%28x%29=4x%2B8-x%2B5
%28f-g%29%28x%29=3x%2B13
d. What is the domain of f-g
all real numbers: { x element R }
e.
%28fg%29%28x%29=%284x%2B8%29%28x-5%29
%28fg%29%28x%29=4x%5E2-20%2B8x-40
%28fg%29%28x%29=4x%5E2%2B8x-60
f. What is the domain of fg:
all real numbers: { x element R }

g.
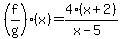
%28f%2Fg%29%28x%29=%284x%2B8%29%2F%28x-5%29
%28f%2Fg%29%28x%29=4%28x%2B2%29%2F%28x-5%29
h. What is the domain of f/g:
{ x element R : x%3C%3E5 }