SOLUTION: Let {{{f(x)=1/x^2}}}. How do I show (just using the definition of the derivation, which is the difference quotient), that f is differentiable in R\{0} and that f'(x)={{{-

Algebra ->  Functions -> SOLUTION: Let {{{f(x)=1/x^2}}}. How do I show (just using the definition of the derivation, which is the difference quotient), that f is differentiable in R\{0} and that f'(x)={{{-      Log On


   



Question 1005498: Let
f%28x%29=1%2Fx%5E2.
How do I show (just using the definition of the derivation, which is the difference quotient), that f is differentiable in R\{0} and that
f'(x)=-2%2Fx%5E3
for x as an element of R?
Thanks for your help!

Answer by Fombitz(32388) About Me  (Show Source):
You can put this solution on YOUR website!
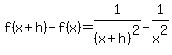
f%28x%29=1%2Fx%5E2
f%28x%2Bh%29=1%2F%28x%2Bh%29%5E2
f%28x%2Bh%29-f%28x%29=1%2F%28x%2Bh%29%5E2-1%2Fx%5E2

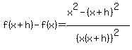
f%28x%2Bh%29-f%28x%29=%28x%5E2-%28x%2Bh%29%5E2%29%2F%28x%28x%2Bh%29%29%5E2
f%28x%2Bh%29-f%28x%29=%28x%5E2-%28x%5E2%2B2xh%2Bh%5E2%29%29%2Fx%28x%2Bh%29%29%5E2
f%28x%2Bh%29-f%28x%29=%28-2xh-h%5E2%29%2F%28x%28x%2Bh%29%29%5E2
%28f%28x%2Bh%29-f%28x%29%29%2Fh=%28-2x-h%29%2F%28x%28x%2Bh%29%29%5E2
So now taking the limit as h goes to zero,
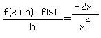
%28f%28x%2Bh%29-f%28x%29%29%2Fh=%28-2x-0%29%2F%28x%28x%2B0%29%29%5E2
%28f%28x%2Bh%29-f%28x%29%29%2Fh=%28-2x%29%2Fx%5E4%29
%28f%28x%2Bh%29-f%28x%29%29%2Fh=-2%2Fx%5E3