SOLUTION: Find the value of k for which the lines (k + 1)x – 4y + 10 = 0 and y = (5/k)x + 11 are perpendicular.
Algebra
->
Functions
-> SOLUTION: Find the value of k for which the lines (k + 1)x – 4y + 10 = 0 and y = (5/k)x + 11 are perpendicular.
Log On
Algebra: Functions, Domain, NOT graphing
Section
Solvers
Solvers
Lessons
Lessons
Answers archive
Answers
Click here to see ALL problems on Functions
Question 1004002
:
Find the value of k for which the lines (k + 1)x – 4y + 10 = 0 and
y = (5/k)x + 11 are perpendicular.
Answer by
josgarithmetic(39618)
(
Show Source
):
You can
put this solution on YOUR website!
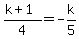
Now compare the coefficients on x.
You want, for perpendicularity,
.
Solve.